Продукция
Наша продукция охватывает несколько ключевых областей, таких как тонкие химикаты, основные химикаты и специальные химикаты, и широко используется в ключевых отраслях, таких как покрытия, строительные материалы, фармацевтика, новая энергетика и новые материалы.
У вас еще есть вопросы?
Контактная информация
описание продукта
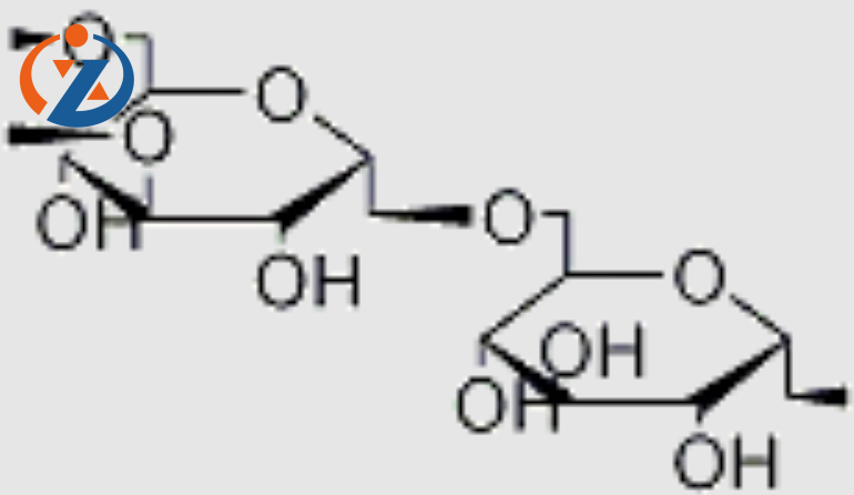
Декстран CAS #9004-54-0
Декстран, полимер глюкозы, состоящий преимущественно из связей ol-1,6-глюкопиранозида, производится из сахарозы бактериями Leuconostoc mesenteroides и родственными организмами, а также из декстринов другими бактериями.
Декстран используется в виде шариков для помощи в биореакторных приложениях, некоторых матрицах для эксклюзионной хроматографии и в исследованиях осмотического стресса, связанных с биологическими молекулами. Он может использоваться в качестве стабилизирующего покрытия для защиты металлических наночастиц от окисления.
Декстран — это длинноцепочечные полисахариды глюкозы с различной относительной молекулярной массой. Декстран 70 (относительная молекулярная масса 70 000) удерживается во внутрисосудистом пространстве, где, подобно альбумину, способствует коллоидно-онкотическому давлению плазмы. В отличие от альбумина, декстран 70, при введении в больших количествах, предотвращает агрегацию тромбоцитов и способствует фибринолизу.

Применение продукта
Коджиевая кислота (CAS # 501-30-4) имеет широкий спектр применения. В области косметики, благодаря ингибированию активности тирозиназы и антиоксидантным свойствам, она используется в отбеливающих кремах и других продуктах для осветления кожи и удаления веснушек, а также добавляется в солнцезащитные средства для усиления защиты от солнца. В пищевой промышленности, благодаря антибактериальному и антиоксидантному эффекту, она не только сохраняет свежесть фруктов, овощей и мяса, но и защищает цвет в обработанных пищевых продуктах, таких как соки. В медицине она может лечить пигментные заболевания кожи, такие как мелазма, а также обладает антибактериальным и противовоспалительным действием в местных препаратах. Кроме того, она может использоваться в сельском хозяйстве в качестве регулятора роста растений и в промышленном производстве в качестве антиоксиданта и хелатирующего агента для металлических ионов.
Демонстрация завода
Быстрая доставка
Наличие на складе 2-3 рабочих дня Новое производство 7-10 рабочих дней
Часто задаваемые вопросы
В: Какая у вас цена?
О: Наша цена очень конкурентоспособна, потому что мы являемся заводом. Свяжитесь с нами, если вы заинтересованы в нашей продукции.
В: Могу ли я посетить ваш завод?
О: Конечно, мы приветствуем клиентов со всего мира посетить наш завод.
В: Какую информацию о продукте мне нужно предоставить?
О: Вам необходимо предоставить сорт, ширину, толщину, покрытие и количество тонн, которые вы хотите приобрести.
В: Каков срок поставки?
О: В течение 3-15 дней после подтверждения вашего запроса.
В: Каковы ваши условия оплаты?
О: Принимаются T/T, L/C at sight, наличные, Western Union. Если у вас есть другие способы оплаты, свяжитесь со мной.
В: Вы предоставляете образцы?
О: Да, мы можем предоставить образец для тестирования, но пожалуйста, оплатите стоимость доставки.
Свяжитесь с нами
Сопутствующие товары